Nature’s tendency for order.
Clap your hands. Bring a few more friends with you to do the same thing. Bring more. As you continue to clap your hands, you will eventually see that your claps synchronize with the others, even though you may not mean to do so.
Why does this happen?
The third law of thermodynamics calls for disorder. But why is order prevalent?

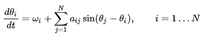
This is best described by the Kuramoto model

This equation holds true if an oscillator i is connected to another oscillator j, which basically means that it describes all such events which show synchronizing behaviour. It uses something called a “phase interaction”, which is when oscillating things oscillate together. More conditions can be added to this equation depending upon the situation, increasing its effectiveness.
Nature effectively uses the interconnectedness between things in the universe to keep things in sync, while we are trying to describe it.